技术白皮书:电池应变量测量原理及数据说明
一、测量原理
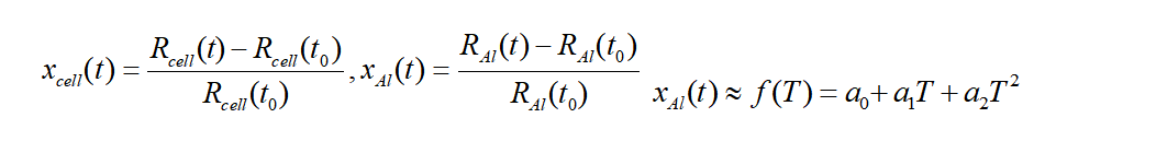
电池应变量测量是利用电阻应变片测量电池在受热及内压变化过程中的表面应变。应变片通过应变胶B-711粘贴于电芯外壳表面,随表面微小形变产生电阻变化。由于电芯外壳与对照铝块材料相同(铝),可通过铝块通道测得温度引起的电阻变化规律。将电芯测得的总电阻变化扣除温度项后,再除以应变片灵敏系数GF(1.83±1%),得到由电芯内部应力引起的净机械应变。
应变计算:
同温环境、电芯外壳=铝,应变片参数:R0≈120±0.1Ω,GF=1.83±1%
用铝块通道拟合出“温致电阻相对变化”的标定函数f(T),把它当作温度引起的项+铝热膨胀项的总和;对电芯通道扣掉这项后,再除以 GF,得到净机械应变(由电芯内压/鼓胀引起)。
预处理与归一化
选定共同起点t0,定义相对电阻变化:用铝块建立“温度→电阻相对变化”的标定f(T)
把温度项从电芯读数中扣除,得到“净机械相对电阻变化”
用灵敏系数把“相对电阻变化”换算成“应变”
整体框架图如图1。
图 1设计方案整体框图
二、实验操作过程
1.样品准备
电池经充放电循环后取出,清洁表面。应变片型号BAB120-3AA250(11)-G1K,使用中航电测应变胶B-711粘贴在电池和对照铝块上。该胶水耐温可达120℃,采用手指按压约1分钟进行常温固化,并在室温下静置24小时以获得最佳结合强度。
2.安装方式
阶段一:应变片贴附于电池与铝块的大面,使用聚乙烯薄膜固定。
阶段二:应变片贴附于侧面,固定方式与前一致。
![]() | ![]() |
图 2阶段一照片

图 3阶段二照片
3.测试与数据采集
实验采用四线制测量方式,通过仪表记录应变片阻值变化。电池与铝块置于铝架上对称放置,整体置入炉体加热。实验过程中记录温度与电阻随时间变化数据。实验结束后,从多通道测温仪中获取数据。
4.数据处理方法
根据所得数据建立铝块温度—电阻函数,电池温度—电阻函数。
三、结论
1.实验结果

图4 第一次实验应变曲线
图 5第二次实验应变曲线

图 6第三次实验应变曲线
2.结论
实验结果表明,应变片能够在一定程度上反映电池在升温过程中由内部气体膨胀与结构变化引起的形变。不同固定方式与贴附位置对测量精度略有影响,取消聚乙烯薄膜后信号稳定性提高,高温胶布包覆有助于辐射对实验的影响。验证了该测量方法在电池热分析中的可行性与可靠性。
附件下载:




请先 登录后发表评论 ~